Professor Guru - logo

Limites Laterais e Limites Infinitos - Lista de Exercícios 1

Lista de exercícios com resoluções em vídeos envolvendo cálculo de limites laterais e de limites tendendo a infinito

Conrad Elber Pinheiro
Professor Guru
Atualizado em 01/08/2023

Playlist no YouTube

Clique aqui para assistir a playlist com os conteúdos desta página no YouTube 

Lista de Exercícios 1 - Limites Laterais e Limites Infinitos

A seguir, você encontrará uma lista de exercícios contendo exercícios sobre o cálculo de limites laterais e de limites tendendo a infinito.  Todos os exercícios estão resolvidos em vídeo.

Assista a vídeo aula sobre o conteúdo acima no YouTube e baixe os slides da aula em PDF

Clique aqui para assistir a vídeo aula

Resolução do Exercício 1a

Clique aqui para fazer o download

Baixe os slides da vídeo aula gratuitamente em formato PDF.

Assista a vídeo aula sobre o conteúdo acima no YouTube e baixe os slides da aula em PDF

Clique aqui para assistir a vídeo aula

Resolução do Exercício 1b

Clique aqui para fazer o download

Baixe os slides da vídeo aula gratuitamente em formato PDF.

Assista a vídeo aula sobre o conteúdo acima no YouTube e baixe os slides da aula em PDF

Clique aqui para assistir a vídeo aula

Resolução do Exercício 1c

Clique aqui para fazer o download

Baixe os slides da vídeo aula gratuitamente em formato PDF.

Assista a vídeo aula sobre o conteúdo acima no YouTube e baixe os slides da aula em PDF

Clique aqui para assistir a vídeo aula

Resolução do Exercício 1d

Clique aqui para fazer o download

Baixe os slides da vídeo aula gratuitamente em formato PDF.

Assista a vídeo aula sobre o conteúdo acima no YouTube e baixe os slides da aula em PDF

Clique aqui para assistir a vídeo aula

Resolução do Exercício 1e

Clique aqui para fazer o download

Baixe os slides da vídeo aula gratuitamente em formato PDF.

Assista a vídeo aula sobre o conteúdo acima no YouTube e baixe os slides da aula em PDF

Clique aqui para assistir a vídeo aula

Resolução do Exercício 1f

Clique aqui para fazer o download

Baixe os slides da vídeo aula gratuitamente em formato PDF.

Assista a vídeo aula sobre o conteúdo acima no YouTube e baixe os slides da aula em PDF

Clique aqui para assistir a vídeo aula

Resolução do Exercício 1g

Clique aqui para fazer o download

Baixe os slides da vídeo aula gratuitamente em formato PDF.

Assista a vídeo aula sobre o conteúdo acima no YouTube e baixe os slides da aula em PDF

Clique aqui para assistir a vídeo aula

Resolução do Exercício 1h

Clique aqui para fazer o download

Baixe os slides da vídeo aula gratuitamente em formato PDF.

Assista a vídeo aula sobre o conteúdo acima no YouTube e baixe os slides da aula em PDF

Clique aqui para assistir a vídeo aula

Resolução do Exercício 1i

Clique aqui para fazer o download

Baixe os slides da vídeo aula gratuitamente em formato PDF.

Assista a vídeo aula sobre o conteúdo acima no YouTube e baixe os slides da aula em PDF

Clique aqui para assistir a vídeo aula

Resolução do Exercício 1j

Clique aqui para fazer o download

Baixe os slides da vídeo aula gratuitamente em formato PDF.

Assista a vídeo aula sobre o conteúdo acima no YouTube e baixe os slides da aula em PDF

Clique aqui para assistir a vídeo aula

Resolução do Exercício 1k

Clique aqui para fazer o download

Baixe os slides da vídeo aula gratuitamente em formato PDF.

Assista a vídeo aula sobre o conteúdo acima no YouTube e baixe os slides da aula em PDF

Clique aqui para assistir a vídeo aula

Resolução do Exercício 1l

Clique aqui para fazer o download

Baixe os slides da vídeo aula gratuitamente em formato PDF.

Assista a vídeo aula sobre o conteúdo acima no YouTube e baixe os slides da aula em PDF

Clique aqui para assistir a vídeo aula

Resolução do Exercício 1m

Clique aqui para fazer o download

Baixe os slides da vídeo aula gratuitamente em formato PDF.

Baseado no gráfico, calcule:

Exercício 2 - questões - limites laterais e limites infinitos

Assista a vídeo aula sobre o conteúdo acima no YouTube e baixe os slides da aula em PDF

Clique aqui para assistir a vídeo aula

Resolução do Exercício 2

Clique aqui para fazer o download

Baixe os slides da vídeo aula gratuitamente em formato PDF.

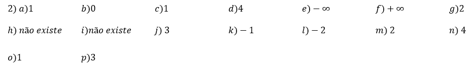
Respostas dos Exercícios

Respostas Exercício 1 - limites laterais e limites infinitos Respostas Exercício 2 - limites laterais e limites infinitos

 Você também pode se interessar por:

Limites e Derivadas - Lista de Exercícios 2

Lista de exercícios envolvendo limites laterais e infinitos, derivadas elementares, derivadas usando regra do produto e regra do quociente

Limites e Derivadas - Lista de Exercícios 3

Regra de L'Hospital, limite lateral, derivada usando regra do produto, regra da cadeia e problemas de otimização (máximos e mínimos)

Limites e Derivadas - Lista de Exercícios 4

Limite tendendo a infinito, limite lateral, derivada de funções elementares, derivada usando regra do produto e do quociente e derivada usando a regra da cadeia