Professor Guru - logo

Limites e Derivadas - Lista de Exercícios 4

Limite tendendo a infinito, limite lateral, derivada de funções elementares, derivada usando regra do produto e do quociente e derivada usando a regra da cadeia 

Conrad Elber Pinheiro
Professor Guru
Atualizado em 02/08/2023

Playlist no YouTube

Clique aqui para assistir a playlist com os conteúdos desta página no YouTube 

Lista de Exercícios 4 - Limites e derivadas

A seguir, você encontrará uma lista de exercícios contendo cálculo de limite tendendo a infinito, limite lateral, derivada de funções elementares, derivada usando regra do produto e regra do quociente e derivada usando a regra da cadeia .  Todos os exercícios estão resolvidos em vídeo.

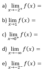
Calcule os limites a seguir:

exercício 1 - questões - limites

Assista a vídeo aula sobre o conteúdo acima no YouTube e baixe os slides da aula em PDF

Clique aqui para assistir a vídeo aula

Resolução do Exercício 1 - Limites a partir de gráfico

Clique aqui para fazer o download

Baixe os slides da vídeo aula gratuitamente em formato PDF.

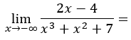
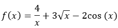
Exercício 2

Calcule o limite a seguir demonstrando passo a passo a sua resolução:

exercício 2 -  limite tendendo a infinito

Assista a vídeo aula sobre o conteúdo acima no YouTube e baixe os slides da aula em PDF

Clique aqui para assistir a vídeo aula

Resolução do Exercício 2 - Limite tendendo a infinito

Clique aqui para fazer o download

Baixe os slides da vídeo aula gratuitamente em formato PDF.

Exercício 3

Calcule a primeira derivada da função  a seguir:

exercício 3 - derivada de funções elementares

Assista a vídeo aula sobre o conteúdo acima no YouTube e baixe os slides da aula em PDF

Clique aqui para assistir a vídeo aula

Resolução do Exercício 3 - derivada de funções elementares

Clique aqui para fazer o download

Baixe os slides da vídeo aula gratuitamente em formato PDF.

Exercício 4

Seja a função f(x) dada seguir. Determine a expressão correspondente a f'(x).

f(x) = x³ . sen(x)

Assista a vídeo aula sobre o conteúdo acima no YouTube e baixe os slides da aula em PDF

Clique aqui para assistir a vídeo aula

Resolução do Exercício 4 - derivada usando Regra do Produto

Clique aqui para fazer o download

Baixe os slides da vídeo aula gratuitamente em formato PDF.

Exercício 5

Seja a função f(x) dada seguir. Determine a expressão correspondente a f'(x) e simplifique o resultado ao máximo.

exercício 5 - derivada - regra do quociente

Assista a vídeo aula sobre o conteúdo acima no YouTube e baixe os slides da aula em PDF

Clique aqui para assistir a vídeo aula

Resolução do Exercício 5 - derivada usando Regra do Quociente

Clique aqui para fazer o download

Baixe os slides da vídeo aula gratuitamente em formato PDF.

Exercício 6

Associe os limites apresentados na coluna I com os resultados exibidos na coluna II. Para isso, escreva os números 1, 2, 3, 4 e 5 mostrados nas células sombreadas da coluna I nos espaços correspondentes espaços sombreados na coluna II.

exercício 6 - cálculo de limites

Assista a vídeo aula sobre o conteúdo acima no YouTube e baixe os slides da aula em PDF

Clique aqui para assistir a vídeo aula

Resolução do Exercício 6 - cálculo de limites

Clique aqui para fazer o download

Baixe os slides da vídeo aula gratuitamente em formato PDF.

Exercício 7.

exercício 7 - derivada usando regra da cadeia

Assista a vídeo aula sobre o conteúdo acima no YouTube e baixe os slides da aula em PDF

Clique aqui para assistir a vídeo aula

Resolução do Exercício 7 - derivada usando a Regra da Cadeia

Clique aqui para fazer o download

Baixe os slides da vídeo aula gratuitamente em formato PDF.

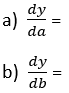
Exercício 8

Considere a função y = 2a⁵b³ - a² + b. Determine:

exercício 8 - questões

Assista a vídeo aula sobre o conteúdo acima no YouTube e baixe os slides da aula em PDF

Clique aqui para assistir a vídeo aula

Resolução do Exercício 8 - derivadas

Clique aqui para fazer o download

Baixe os slides da vídeo aula gratuitamente em formato PDF.

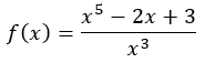
Exercício 9

Calcule a segunda derivada da função f(x) = 2x⁵ – 3 sen x.

Assista a vídeo aula sobre o conteúdo acima no YouTube e baixe os slides da aula em PDF

Clique aqui para assistir a vídeo aula

Resolução do Exercício 9 - segunda derivada de uma função elementar

Clique aqui para fazer o download

Baixe os slides da vídeo aula gratuitamente em formato PDF.

Exercício 10

Utilizando a Regra da Cadeia, calcule a derivada da função

exercício 10 - regra da cadeia

Assista a vídeo aula sobre o conteúdo acima no YouTube e baixe os slides da aula em PDF

Clique aqui para assistir a vídeo aula

Resolução do Exercício 10 - derivada usando a Regra da Cadeia

Clique aqui para fazer o download

Baixe os slides da vídeo aula gratuitamente em formato PDF.

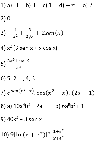
Respostas dos Exercícios

respostas dos exercícios da lista 4

 Você também pode se interessar por:

Limites e Derivadas - Lista de Exercícios 5

Limite usando a Regra de L'Hospital, problemas de otimização, construção de gráfico usando derivadas e limites, Regra da Cadeia e do Produto, ponto de máximo, ponto de mínimo e ponto de inflexão

Crescimento, Decrescimento e Concavidades de Funções usando Derivadas

Crescimento e decrescimento de funções utilizando a 1ª derivada, pontos críticos, concavidades de funções usando a 2ª derivada, pontos de inflexão

Problemas de máximos e mínimos (ou problemas de otimização) usando derivadas 

Lista de exercícios com resolução em vídeo envolvendo problemas de otimização, também conhecido como problemas de máximos e mínimos, através do uso de derivadas