Professor Guru - logo

Testes de Hipóteses para 2 populações

Testes de hipóteses para comparação de médias e de proporções entre duas populações. Fórmulas, resolução passo-a-passo e lista de exercícios.

Conrad Elber Pinheiro
Professor Guru
Atualizado em 31/07/2023

Conteúdo da página

1. Introdução
2. Amostras dependentes e independentes 
3. Teste para Amostras Dependentes (teste t–pareado) 
4. Teste para Médias de Amostras Independentes com Variâncias Populacionais Conhecidas 
5. Teste para Médias de Amostras Independentes com Variâncias Populacionais Desconhecidas e Iguais   
6. Teste para Médias de Amostras Independentes com Variâncias Populacionais Desconhecidas e Diferentes  
7. Teste para a igualdade de Proporções  
8. Lista de Exercícios 
Respostas dos Exercícios

Apostila sobre Testes de Hipóteses

Ao final desta página, você pode fazer o download gratuito da apostila sobre​ Testes de Hipóteses em formato PDF.

Playlist no YouTube

Clique aqui para assistir a playlist com os conteúdos desta página no YouTube 

1. Introdução

Neste capítulo veremos como fazer testes de hipóteses para a média populacional e para a proporção não para uma única população, mas para comparar duas populações e verificar se existem diferenças significativas entre elas.

A National Youth Tobacco Survey (NYTS) é um estudo conduzido pelo Centers for Disease Control and Prevention (Centro para Prevenção e Controle de Doenças) para fornecer informações sobre o uso de produtos derivados de tabaco por estudantes. Como parte de um estudo recente, uma amostra aleatória de 6.869 estudantes do ensino médio do sexo masculino foi pesquisada. As proporções a seguir foram encontradas.

tabela de fumantes do sexo masculino

Neste capítulo, você continuará seu estudo sobre estatística inferencial e teste de hipóteses. Agora, no entanto, ao invés de testar uma hipótese sobre uma única população, você aprenderá como testar uma hipótese que compara duas populações.

Por exemplo, no estudo da NYTS, uma amostra aleatória de 6.869 estudantes do ensino médio do sexo feminino também foi pesquisada. Aqui estão as conclusões para esse segundo grupo.

tabela de fumantes do sexo feminino

Com base nestas duas amostras, você pode concluir que existe uma proporção significativamente maior de estudantes que fumam cigarros, charutos ou usam tabaco mastigável entre estudantes do sexo masculino do que entre estudantes do sexo feminino? Ou as diferenças nas proporções podem ser ao acaso?

Neste capítulo, você aprenderá que pode responder a essas perguntas testando a hipótese de que as duas proporções são iguais. Para a proporção dos estudantes que usam tabaco mastigável, por exemplo, o P–valor para a hipótese de que p1=p2 é de cerca de 0,0000. Então, é quase impossível que dois grupos que usam tabaco mastigável tenham experimentado a mesma proporção.

2. Amostras dependentes e independentes

Duas amostras são independentes se a amostra selecionada de uma das populações não é relacionada à amostra selecionada da segunda população.

Duas amostras são dependentes se cada membro de uma amostra corresponde a um membro da outra amostra. Amostras dependentes também são chamadas de amostras emparelhadas ou amostras relacionadas.

diagrama comparando amostras independentes e dependentes

Exemplo 1

Classifique cada par de amostras como independente ou dependente e justifique sua resposta.

a) Amostra 1: ritmo cardíaco em descanso de 35 indivíduos antes de tomar café.

Amostra 2: ritmo cardíaco em descanso dos mesmos indivíduos depois de beber duas xícaras de café.

b) Amostra 1: nota de teste para 35 estudantes de Estatística.

Amostra 2: nota de teste para 42 estudantes de Biologia que não estudam Estatística.

Resolução

a) As amostras são dependentes. Já que o ritmo cardíaco em descanso dos mesmos indivíduos é analisado, as amostras são relacionadas. As amostras podem ser emparelhadas em relação a cada indivíduo.

b) As amostras são independentes. Não é possível formar uma relação entre os membros das amostras; os tamanhos das amostras são diferentes e os dados representam notas de teste para diferentes indivíduos.

Assista a vídeo aula sobre o conteúdo acima no YouTube e baixe os slides da aula em PDF

Clique aqui para assistir a vídeo aula

Exemplo 1 - amostras dependentes e amostras independentes

Clique aqui para fazer o download

Baixe os slides da vídeo aula gratuitamente em formato PDF.

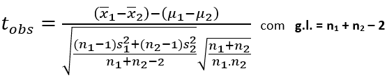
3. Teste para Amostras Dependentes (teste t–pareado)

Um teste t pode ser usado para testar a diferença de duas médias da população quando uma amostra é selecionada aleatoriamente de cada população. Os requisitos para efetuar este teste são que cada população seja Normal e que cada membro da primeira amostra seja emparelhado com um membro da segunda amostra. A fórmula da estatística do teste é:

fórmula do t observado - teste t-pareado

com

fórmula da média das diferenças - teste t-pareado

que é a média das diferenças das amostras emparelhadas;

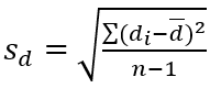
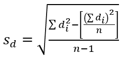
fórmula 1 do desvio padrão das diferenças - teste t-pareado

ou, se preferir,  

fórmula 2 do desvio padrão das diferenças - teste t-pareado

que é o desvio padrão amostral das diferenças;

μ d = μ 1 - μ 2, que, sob a hipótese nula, sempre teremos μ d  = 0;

n é o tamanho da amostra (o tamanho de cada amostra emparelhada).

Tabela da t-Student

Clique no botão abaixo para abrir a tabela da t-Student em uma nova janela.

Ver tabela da t-student  

Exemplo 2

Um fabricante de tacos de golfe afirma que os golfistas podem diminuir seus placares usando os tacos de golfe recém-projetados por ele. Oito jogadores de golfe são escolhidos aleatoriamente e é pedido a cada um que forneça seu mais recente placar. Após usar os novos tacos por um mês, é pedido novamente aos jogadores que forneçam seus placares mais recentes. Os placares para cada um são mostrados na tabela. Assumindo que os placares de golfe são distribuídos normalmente, existe evidência suficiente para apoiar a afirmação do fabricante para um nível de significância de 10%?

Jogador de golfe

1

2

3

4

5

6

7

8

Placar (projeto antigo)

89

84

96

82

74

92

85

91

Placar (projeto novo)

83

83

92

84

76

91

80

91

Resolução

A afirmação é que "golfistas podem diminuir seus placares". Em outras palavras, o fabricante afirma que os placares, usando os tacos antigos, será maior do que os placares usando os novos. Observação: no golfe, quanto menor for o placar, melhor é o desempenho do jogador. Cada diferença é dada por:

d = (placar antigo) – (placar novo).

As hipóteses são:

H₀: μd ≤ 0

Hₐ: μd > 0 (afirmação).

Já que o teste é um teste unicaudal à direita, α=0,10 e g.l. = 8 – 1 = 7, o valor crítico, obtido a partir da tabela t é tc=1,415. A área de rejeição (região crítica do teste) é t>1,415. Usando a tabela a seguir, você pode calcular a média das diferenças e o desvio padrão das diferenças. Note que a fórmula de “atalho” é usada para calcular o desvio padrão.

A média das diferenças é:

exemplo 2 - média das diferenças - teste t-pareado

O desvio padrão das diferenças é:

exemplo 2 - desvio padrão das diferenças - teste t-pareado

Logo, o valor observado do teste t é:

exemplo 2 - cálculo t observado - teste t-pareado

O gráfico mostra a localização da região de rejeição (região crítica do teste) e a estatística tobs.

exemplo 2 - gráfico com regiões críticas - teste t-pareado

Já que tobs está na região crítica, você deve decidir em rejeitar a hipótese nula. Ou seja, há evidência suficiente para apoiar a afirmação do fabricante de tacos de golfe. Ou melhor, ao nível de significância de 10%, os resultados deste teste indicam que depois de os jogadores de golfe usarem os novos tacos, seus placares foram significativamente menores.

Assista a vídeo aula sobre o conteúdo acima no YouTube e baixe os slides da aula em PDF

Clique aqui para assistir a vídeo aula

Resolução do Exemplo 2 - teste t-pareado

Clique aqui para fazer o download

Baixe os slides da vídeo aula gratuitamente em formato PDF.

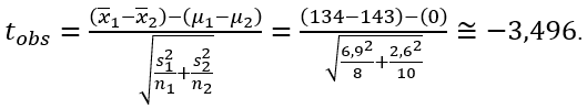
Exemplo 3

Um legislador estadual quer determinar se seu índice de desempenho (0-100) mudou do ano passado para este. A tabela a seguir mostra o índice de desempenho do legislador para 16 eleitores selecionados aleatoriamente para o ano passado e para este. Ao nível de 1% de significância, há evidência suficiente para concluir que o desempenho do legislador mudou? Assuma que os índices de desempenho são normalmente distribuídos.

exemplo 3 - tabela enunciado - teste t-pareado

Resolução

Se há mudança no índice de desempenho do legislador, haverá uma diferença entre os índices "deste ano" e "do ano passado". Em virtude do legislador querer verificar se há diferença, as hipóteses nula e alternativa são:

H₀: μd = 0

Hₐ: μd ≠ 0 (afirmação).

Em razão de o teste ser bicaudal, α = 0,01 e g.l. = 16 –1 = 15, os valores críticos são tc = –2,947 e tc = 2,947. As regiões de rejeição são t < –2,947 e t > 2,947 (dica: faça um esboço gráfico). A partir da tabela dada, construímos as diferenças para cada par de observações:

exemplo 3 - tabela de cálculos - teste t-pareado

A média das diferenças amostrais é:

exemplo 3 - média das diferenças - teste t-pareado

O desvio padrão amostral das diferenças é:

exemplo 3 - desvio padrão das diferenças - teste t-pareado

A estatística do teste, ou seja, o valor de t observado, é:

exemplo 3 - cálculo t observado - teste t-pareado

Graficamente:

exemplo 3 - gráfico com regiões críticas - teste t-pareado

Logo, como tobs não está na região crítica do teste, aceitamos a hipótese nula (H₀), ou seja, ao nível de 1%, não há evidências de que o desempenho do legislador tenha mudado.

Assista a vídeo aula sobre o conteúdo acima no YouTube e baixe os slides da aula em PDF

Clique aqui para assistir a vídeo aula

Resolução do Exemplo 3 - teste t pareado

Clique aqui para fazer o download

Baixe os slides da vídeo aula gratuitamente em formato PDF.

4. Teste para Médias de Amostras Independentes com Variâncias Populacionais Conhecidas

Neste teste, iremos verificar se existem diferenças significativas nas médias de duas populações. As amostras, de cada uma das populações, devem ser independentes e serem selecionadas aleatoriamente. Além disso, as variâncias, e consequentemente, os desvios padrões populacionais devem ser conhecidos.

A estatística padronizada do teste é uma Normal Padrão. Sendo assim, a fórmula para o teste de médias de amostras independentes com variâncias conhecidas é:

fórmula z observado - teste para médias de amostras independentes com variâncias conhecidas

onde

μ1 - μ2 = 0 sob as condições da hipótese nula;

fórmula da diferença das médias amostrais variâncias das populações 1 e 2

n1 e n2 são os tamanhos das amostras 1 e 2.

Tabela da Normal Padrão

Clique no botão abaixo para abrir a tabela da Normal Padrão em uma nova janela.

Ver tabela da normal padrão  

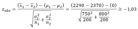
Exemplo 5

Uma organização de educação de consumidores afirma que há uma diferença entre a média da dívida do cartão de crédito de homens e mulheres. Sabe–se, de estudos anteriores, que o desvio padrão para a dívida das mulheres é de $ 750 e, dos homens, $ 800. Os resultados de uma pesquisa aleatória de 200 indivíduos de cada grupo foram: média da dívida das mulheres: $ 2.290; média da dívida dos homens: $ 2.370. Verifique se, ao nível de 5%, a afirmação da organização está correta.

Resolução

Inicialmente, vemos que as amostras são independentes e os desvios padrões populacionais são conhecidos. Nossas hipóteses são:

H₀: μ1 = μ2 

Hₐ: μ1 ≠ μ2  

Isso é equivalente a reescrever as hipóteses do teste da seguinte forma:

H₀: μ1 - μ2 = 0

Hₐ: μ1 - μ2 ≠ 0  

Assim, nossa estatística, ou seja, o valor de z observado é:

A partir da tabela da Normal, verificamos que os valores críticos do teste bicaudal são zc = –1,96 e zc = 1,96.

Como zobs não está na região crítica do teste, aceitamos H₀, ou seja, ao nível de 5%, não há evidências para apoiar a afirmação da organização. Em outras palavras, há evidências de que não existe uma diferença na média da dívida do cartão de crédito entre homens e mulheres.

Assista a vídeo aula sobre o conteúdo acima no YouTube e baixe os slides da aula em PDF

Clique aqui para assistir a vídeo aula

Resolução do Exemplo 5 - teste para médias de populações com variâncias conhecidas

Clique aqui para fazer o download

Baixe os slides da vídeo aula gratuitamente em formato PDF.

5. Teste para Médias de Amostras Independentes com Variâncias Populacionais Desconhecidas e Iguais

Se as amostras forem independentes, aleatórias e tiverem uma distribuição normal, em que as variâncias populacionais são iguais, porém desconhecidas, a fórmula do teste de hipóteses é:

fórmula do teste de hipóteses para a média de amostras independentes com variâncias desconhecidas e iguais

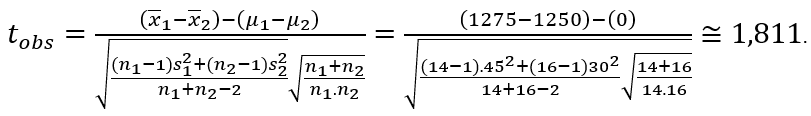
Exemplo 6

Um fabricante afirma que o alcance de chamadas (em pés) do seu telefone sem fio é maior que do seu principal concorrente. Você realiza um estudo usando 14 telefones selecionados aleatoriamente deste fabricante e 16 telefones similares do concorrente. Os resultados obtidos foram:

Fabricante: média de 1275 pés e desvio padrão de 45 pés.

Concorrente: média de 1250 pés e desvio padrão de 130 pés.

Ao nível de 5%, você pode dizer que o fabricante está correto? Assuma que as populações são normalmente distribuídas e as variâncias da população são iguais.

Resolução

Nossas hipóteses são:

H₀: μ1 ≤ μ2 

Hₐ: μ1 > μ2  

Isso é equivalente a reescrever as hipóteses do teste da seguinte forma:

H₀: μ1 - μ2 ≤  0

Hₐ: μ1 - μ2 > 0  

Assim, nossa estatística, ou seja, o valor de t observado é:

exemplo 6 - cálculo de t observado para a média com variâncias desconhecidas e iguais

Os graus de liberdade são: g.l.=14+16–2=28 . Logo, a partir da distribuição t-Student, para 5% de significância, obtemos o valor crítico (teste unicaudal): tc=1,701.

Logo, como o valor observado pertence à região crítica do teste, devemos rejeitar H₀, ou seja, ao nível de 5%, há evidências de que o alcance de chamada do fabricante é maior do que o alcance do seu concorrente.

Assista a vídeo aula sobre o conteúdo acima no YouTube e baixe os slides da aula em PDF

Clique aqui para assistir a vídeo aula

Resolução do Exemplo 6 - teste para médias com variâncias desconhecidas e iguais

Clique aqui para fazer o download

Baixe os slides da vídeo aula gratuitamente em formato PDF.

6. Teste para Médias de Amostras Independentes com Variâncias Populacionais Desconhecidas e Diferentes

Se as amostras forem independentes, aleatórias e tiverem uma distribuição normal, em que as variâncias populacionais são diferentes e desconhecidas, a fórmula do teste de hipóteses é:

fórmula do Teste para Médias de Amostras Independentes com Variâncias Populacionais Desconhecidas e Diferentes

Tabela da t-Student

Clique no botão abaixo para abrir a tabela da t-Student em uma nova janela.

Ver tabela da t-student  

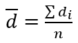
Exemplo 7

As distâncias de frenagem de 8 carros tipo A e 10 carros tipo B foram testadas enquanto viajavam a uma mesma velocidade sob mesmas condições de clima e do asfalto. O carro tipo A utilizou uma média de 134m até a parada total com desvio padrão de 6,9m. O carro tipo B utilizou uma média de 143m até a parada total com desvio padrão de 2,6m. Verificar se existe uma diferença na média da distância de frenagem dos dois tipos de carros ao nível de 1% de significância. Assuma que as populações são normalmente distribuídas e as variâncias das populações não são iguais.

Resolução

Nossas hipóteses são:

H₀: μ1 = μ2 

Hₐ: μ1 ≠ μ2  

Isso é equivalente a reescrever as hipóteses do teste da seguinte forma:

H₀: μ1 - μ2 =  0

Hₐ: μ1 - μ2 ≠ 0  

Assim, nossa estatística, ou seja, o valor de t observado é:

exemplo 7 - cálculo do t observado - teste para médias com variâncias desconhecidas e diferentes

Como a menor amostra é a de tamanho 8, temos que os graus de liberdade da distribuição t são: g.l.=8–1=7. Para α=0,01 e um teste bicaudal, temos os valores críticos: tc = –3,499 e tc = 3,499.

Como o valor observado não está dentro da região crítica, devemos aceitar H₀, ou seja, ao nível de 1%, não há evidências para se afirmar que as distâncias médias de frenagem dos dois carros são diferentes.

Assista a vídeo aula sobre o conteúdo acima no YouTube e baixe os slides da aula em PDF

Clique aqui para assistir a vídeo aula

Resolução do Exemplo 7 - teste para a média com variâncias desconhecidas e diferentes

Clique aqui para fazer o download

Baixe os slides da vídeo aula gratuitamente em formato PDF.

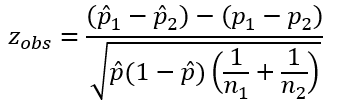
7. Teste para a igualdade de Proporções

Um teste Z de duas amostras é usado para testar a diferença entre duas proporções de populações p1 e p2, quando uma amostra é selecionada aleatoriamente de cada população. A fórmula do teste de hipótestes para a igualdade de proporções é:

fórmula do z observado para teste de hipóteses para a igualdade de proporções

onde

proporções das amostras 1 e 2

p1 e p2 são as proporções populacionais das populações 1 e 2;

n1 e n2 são os tamanhos das amostras 1 e 2;

p chapéu - proporção ponderada fórmula do p chepéu - proporção ponderada

Tabela da Normal Padrão

Clique no botão abaixo para abrir a tabela da Normal Padrão em uma nova janela.

Ver tabela da normal padrão  

Exemplo 8

Em um estudo de 200 mulheres adultas selecionadas aleatoriamente e 250 homens adultos, ambos usuários de internet, 30% das mulheres e 38% dos homens disseram que planejam comprar online ao menos uma vez no mês seguinte. Ao nível de significância de 10%, testar a afirmação de que há uma diferença entre a proporção de homens e mulheres, usuários de Internet, que planejam comprar online.

Resolução

Nossas hipóteses são:

H₀: p1 = p2

Hₐ: p1 ≠ p2

Nossas hipóteses podem ser reescritas do seguinte modo:

H₀: p1 - p2 = 0

Hₐ: p1 - p2 ≠  0

Veja que a quantidade de mulheres, na amostra, que pretendem comprar online é 30% de 200, ou seja, x1 = 0,30 . 200 = 60. E a quantidade de homens, da amostra, que pretendem comprar online é 38% de 250, ou seja, x2 = 0,38 . 200 = 95. Assim, a estimativa ponderada da proporção é:

exemplo 8 - cálculo da proporção ponderada

Nossa estatística do teste é:

exemplo 8 - cálculo do z observado para igualdade de proporções

A partir da tabela da Normal, para um teste bicaudal e  =0,10, obtemos os valores críticos do teste: zc = –1,645 e zc = 1,645.

Como zobs está na região crítica do teste, devemos rejeitar H₀, ou seja, ao nível de 10%, há evidências de que exista uma diferença na proporção de homens e de mulheres, usuários de Internet, que planejam comprar online no próximo mês.

Assista a vídeo aula sobre o conteúdo acima no YouTube e baixe os slides da aula em PDF

Clique aqui para assistir a vídeo aula

Resolução do Exemplo 8 - teste para a igualdade de proporções

Clique aqui para fazer o download

Baixe os slides da vídeo aula gratuitamente em formato PDF.

8. Lista de Exercícios

1)  Na tabela a seguir estão registrados os índices de vendas de uma amostra de seis supermercados para os produtos concorrentes da marca A e da marca B. teste a hipótese de que as médias dos índices de vendas entre as marcas A e B é igual usando um nível de significância de 5%.

Supermercado

Marca A

Marca B

1

14

4

2

20

16

3

2

28

4

11

9

5

5

31

6

12

10


2) Sabe-se que o tempo necessário para percorrer uma determinada rota no final da tarde pode ser estudado por um modelo Normal com desvio padrão de 17 min. Foram instalados sensores para controlar o tempo de abertura dos semáforos presentes na rota, e deseja-se verificar se o tempo gasto para completar o percurso diminuiu. Estudos anteriores indicam que o tempo deve continuar se comportando segundo um modelo Normal, com mesmo desvio padrão. Com os sensores desativados, 11 veículos de mesmo ano e marca, denominado Grupo Controle, tiveram o tempo gasto no percurso anotado. Em seguida, os sensores foram ativados e outros 13 veículos (Grupo Teste) percorreram a mesma rota. Os tempos observados, em minutos, foram os seguintes:

Grupo                           Tempos utilizados no percurso                                .

Controle    38    26    20    70    16    26    38    32    45    49    32

Teste         17    31    28    21    50    21    20    51    10    22    18    35    29

Indique se o uso dos sensores contribui para diminuir o tempo médio de percurso utilizando o nível de 5%.


3) Para verificar se duas populações têm a mesma média, amostras independentes foram retiradas. Sabendo que a população I é Normal (µ1,25) e a população II Normal (µ2,40), que conclusão pode ser tirada, ao nível 2%? Os valores obtidos foram:

População                          Dados

       I                   12    14    15    14    13    17    14    13

       II                 13    17    14    13    16    17    18    16


4) Para comparar as médias de duas populações Normais, amostras aleatórias foram obtidas. Sabe-se que as variâncias populacionais são diferentes, sendo seus valores desconhecidos.

Amostra I    7    9    3     8     11     5     9

Amostra II   2    7    5    15     9     16    8

O que pode ser dito a respeito das médias das populações, com α = 0,05?


5) Dois medicamentos para tratamento de infecções bucais estão sendo estudados e o melhor desempenho é definido pela rapidez em eliminar a infecção. Pacientes escolhidos ao acaso receberam um dos medicamentos e tiveram a sua cura classificada em rápida ou não. Deseja-se testar, ao nível 10%, se os medicamentos são equivalentes. Os dados obtidos são apresentados a seguir.


Amostra

Pacientes com cura rápida

Medicamento A

50

32

Medicamento B

100

48

Qual seria sua conclusão? Indique as hipóteses do teste e as suposições necessárias.

6) Uma empresa de pesquisa de opinião pública seleciona 300 eleitores de São Paulo e 400 do Rio de Janeiro, e pergunta a cada um se votará ou não no candidato A, nas próximas eleições. Setenta e cinco eleitores de SP e 120 do RJ respondem afirmativamente. Há diferença significativa entre as proporções de eleitores a favor de A nos dois estados? Use nível de significância de 5%.


7) Estão em teste dois processos para fechar latas de comestíveis. Em uma sequência de 1.000 latas, o processo l gera 50 rejeições, enquanto o processo 2 acusa 200 rejeições. Podemos, no nível de 0,05, concluir que os dois processos sejam diferentes?


8) Em uma pesquisa sobre possuidores de videocassete, encontram-se 120 das 200 casas pesquisadas do bairro X e 240 das 500 residências do bairro Y. Há diferença significativa entre a proporção de possuidores de vídeo nos dois bairros a um nível de 10%?


9) Você quer comprar um forno de micro-ondas e escolherá o Modelo A se os custos de reparo forem mais baixos que os custos de reparo do Modelo B. Você pesquisa os custos de reparo de 47 fornos do Modelo A e 55 fornos do Modelo B. O custo médio do reparo do modelo A é $ 75 e, do modelo B, $ 80. Ao nível de 1%, você compraria o Modelo A? Considere que o desvio padrão populacional para o modelo A é $ 12,50 e para o modelo B é $ 20.


10) Da população feminina extraiu–se uma amostra, resultando:

Renda (em $1000)

10 |–25

25|–40

40|–55

55|–70

70|–85

Nº de mulheres

7

12

10

6

4

Da população feminina extraiu–se uma amostra, resultando:

Renda (em $1000)

10 |–25

25|–40

40|–55

55|–70

70|–85

Nº de homens

8

15

12

7

3

Admitindo que as populações tenham distribuições Normais de mesma variância para os salários, teste, ao nível de 10%, a hipótese de que a diferença entre a renda média dos homens e das mulheres valha $5000.


11) A média na nota do ACT para 43 estudantes do sexo masculino do ensino médio é de 21,1. A média na nota do ACT para 56 estudantes do sexo feminino do ensino médio é de 20,. Os desvio padrão, obtido a partir de vários estudos anteriores, é de 5,0 para o sexo masculino e de 4,7 para o sexo feminino. Ao nível de 1%, você pode rejeitar a afirmação de que estudantes do ensino médio do sexo masculino e do sexo feminino têm a mesma média de notas do ACT?


12) Intrusão do footwell (compartimento na parte frontal do carro, cuja função é acomodar os pés) Um atuário de seguros afirma que a média de intrusões de footwell para carros pequenos e médios é igual. Testes de impacto a 40 milhas por hora foram realizados em 12 carros pequenos selecionados aleatoriamente e em 17 carros médios selecionados aleatoriamente. A quantia média que o footwell irrompe nas pernas do motorista foi medida. A média de intrusão do footwell nos carros pequenos foi de 10,1 cm com desvio padrão de 4,11 cm. Para os carros médios foi de 8,3 cm com desvio padrão de 4,02 cm. Ao nível de 10%, você pode rejeitar a afirmação? Assuma que as variâncias populacionais sejam iguais.


13) Em testes de batida a 5 milhas por hora, a média do custo de reparo no para-choque de 14 carros pequenos selecionados aleatoriamente é $ 473 com um desvio padrão de $ 190. Em testes similares de 23 carros de tamanho médio selecionados aleatoriamente, a média do custo de reparo no para-choque é $ 741 com um desvio padrão de $ 205. Você pode concluir que a média do custo de reparo no para-choque é menor em carros pequenos do que em carros de tamanho médio ao nível de 10%? Assuma que as variâncias de população são iguais.


14) A tabela mostra as milhagens de gasolina (em milhas por galão) de oito carros com e sem uso de um aditivo de combustível. Ao nível de 10%, há evidência suficiente para concluir que o aditivo de combustível melhorou a milhagem de gasolina?

exercício 14 - tabela enunciado

15) Uma empresa quer determinar se a classificação de seus produtos por consumidores (0-10) mudou do ano passado para este ano. A tabela mostra a classificação dos produtos da empresa feita pelos mesmos oito consumidores do ano passado para este ano. Ao nível de 5% de significância, há evidência suficiente para concluir que a classificação do produto mudou?

exercício 15 - tabela enunciado

16) Em um estudo de 1.539 adultos em 1991, 520 disseram que tinham usado medicina alternativa (por exemplo, remédios populares e homeopatia) no ano anterior. Em um estudo mais recente com 2.055 adultos, 865 disseram que haviam usado medicina alternativa no ano anterior (veja o gráfico). Ao nível de 5%, você pode rejeitar a afirmação de que a proporção de adultos usando medicina alternativa não mudou desde 1991?

exercício 16 - gráfico enunciado

17) Em uma pesquisa com 5.240 cidadãos mais velhos do sexo masculino, 2.201 disseram que comem o número de porções recomendadas de vegetais diariamente. Em uma pesquisa com 6.180 cidadãs mais velhas, 2.348 disseram que também comem o número de porções recomendadas de vegetais diariamente. Com 10% de significância, você pode rejeitar a afirmação de que as proporções de cidadãos mais velhos que disseram comer o número de porções recomendadas de vegetais diariamente são as mesmas para os dois grupos?


18) Fumantes: homem e mulher. Em uma pesquisa de 9.300 homens, 2.083 disseram que haviam fumado nos últimos 30 dias. Em uma pesquisa de 4.900 mulheres, 985 disseram que haviam fumado nos últimos 30 dias. Ao nível de 1%, você pode apoiar a afirmação de que a proporção de homens que disseram ter fumado nos últimos 30 dias é menor do que a proporção de mulheres que disseram ter feito o mesmo?

Tabela da Normal Padrão

Clique no botão abaixo para abrir a tabela da Normal Padrão em uma nova janela.

Ver tabela da normal padrão  

Tabela da t-Student

Clique no botão abaixo para abrir a tabela da t-Student em uma nova janela.

Ver tabela da t-student  

Respostas dos Exercícios

1) tobs = –1,1, aceite H₀, ou seja, não há evidências para se dizer que as médias são diferentes.

2) Não há evidências de que os sensores contribuem para diminuir o congestionamento na via.

3) H₀: μd = 0; Hₐ: μd ≠ 0. Aceite H₀.

4) Teste bilateral com g.l.=6, tc=–1,943 ou tc=1,943. Como tobs=–0,66, aceite H₀, ou seja, as médias populacionais são iguais.

5) Supomos que a amostra é suficientemente grande de tal forma que o modelo Normal é adequado para o tamanho da amostra. Teste bilateral. zobs = 1,85 e zc = –1,64 ou zc = 1,64. Rejeite H₀, ou seja, os medicamentos não tem a mesma eficácia (um deles é mais rápido que o outro).

6) zobs = –1,46, aceite H₀, ou seja, não se pode rejeitar a hipótese de igualdade entre as proporções ao nível de 5%.

7) zobs = –10, rejeite H₀, ou seja, os dois processos são diferentes a um nível de 5%.

8) zobs = –2,86, rejeite H₀, ou seja, as proporções são diferentes com um risco de 10%.

9) H₀: µd ≥ 0; Ha: µd < 0. zc = –2,33, zobs = –1,54. Aceite H₀, ou seja, ao nível de 1%, não há evidências de que o custo de reparo do modelo A seja inferior ao do modelo B.

10)  tobs = –1,63,  não de pode rejeitar a hipótese de que a diferença valha $5000, ao nível de 10%.

11) H₀: µ1 = µ2; Hₐ: µ1 ≠ µ2. zc = –2,575 e zc = 2,575; zobs=0,202. Aceite H₀, ou seja, ao nível de 1%, há evidências de que as médias dos homens e das mulheres no ACT sejam iguais.

12) H₀: µ1 = µ2; Hₐ: µ1 ≠ µ2. t= –1,703 e tc = 1,703; tobs = 1,177. Aceite H₀, ou seja, ao nível de 10%, não há evidências para rejeitar a afirmação do atuário de seguros de que a intrusão do footwell para carros médios e pequenos é igual.

13) H₀: µ1 ≥ µ2; Hₐ: µ1 < µ2.  tc = –1,282; tobs = –3,962. Rejeite H₀, ou seja, ao nível de 10%, há evidências de que o custo para reparar pára–choques de carros pequenos seja menor que de carros médios.

14) H₀: µd ≥ 0; Hₐ: µd < 0.  tc = –1,415; tobs = –5,547. Rejeite H₀, ou seja, há evidências de que o aditivo melhorou a milhagem de gasolina.

15) H₀: µd = 0; Hₐ: µd ≠ 0.  tc = –2,365 e tc=2,365. tobs=–2,160. Aceite H₀, ou seja, não há evidências de que a classificação de produtos mudou do ano passado para este ano.

16) H₀: p1 = p2; Hₐ: p1 ≠ p2. zc=–1,96 e zc=1,96; zobs=–5,06. Rejeite H₀, ou seja, há evidências de que a proporção de adultos usando remédios alternativos mudou.

17) H₀: p1 = p2; Hₐ: p1 ≠ p2. zc=–1,645 e zc=1,645; zobs=4,362. Rejeite H₀, ou seja, ao nível de 10%, há evidências de que a proporção não é a mesma para os dois grupos.

18) H₀: p1 ≥ p2; Hₐ: p1 < p2. zc=–2,33; zobs=3,16. Aceite H₀, ou seja, ao nível de 1%, não há evidências de que a proporção de homens que dizem ter fumado nos últimos 30 dias seja menor que a de mulheres.

DOWNLOAD
Apostila sobre ​Testes de Hipóteses

Faça o download gratuito da apostila sobre ​Testes de Hipóteses em formato PDF.

 Baixe Agora

 Você também pode se interessar por:

Estatística – menu de conteúdos

Veja a relação completa de todos os conteúdos de Estatística com teoria, exemplos e exercícios.

Distribuição Normal de Probabilidades

Conceitos e propriedades da distribuição Normal, padronização, distribuição Normal Padrão, tabela da Normal Padrão, exemplos resolvidos e lista de exercícios

Medidas de Dispersão

Desvio médio, variância populacional, variância amostral, desvio padrão populacional, desvio padrão amostral e coeficiente de variação