Professor Guru - logo

Limites e Derivadas - Lista de Exercícios 5

Limite usando a Regra de L'Hospital, problemas de otimização, construção de gráfico usando derivadas e limites, Regra da Cadeia e do Produto, ponto de máximo, ponto de mínimo e ponto de inflexão

Conrad Elber Pinheiro
Professor Guru
Atualizado em 02/08/2023

Playlist no YouTube

Clique aqui para assistir a playlist com os conteúdos desta página no YouTube 

Lista de Exercícios 5 - Limites e derivadas

A seguir, você encontrará uma lista de exercícios contendo Limite usando a Regra de L'Hospital, problemas de otimização, construção de gráfico usando derivadas e limites, Regra da Cadeia e do Produto, ponto de máximo, ponto de mínimo e ponto de inflexão.  Todos os exercícios estão resolvidos em vídeo.

A Regra de L’Hospital é utilizada quando temos indeterminações do tipo

exercício 1 - indeterminação em limites

Utilizando esse teorema, calcule os limites a seguir:

Assista a vídeo aula sobre o conteúdo acima no YouTube e baixe os slides da aula em PDF

Clique aqui para assistir a vídeo aula

Resolução do Exercício 1 - Regra de L'Hospital

Clique aqui para fazer o download

Baixe os slides da vídeo aula gratuitamente em formato PDF.

Exercício 2

Se se quisesse fazer uma caixa com uma folha de papel quadrada de 24cm de lado seria necessário recortar os quatro cantos dessa folha. Esse corte teria o formato quadrado de tamanho L, para que os lados da caixa tivessem a mesma altura. Para cada L diferente teremos um volume diferente. Abaixo há alguns exemplos de folhas com os cantos recortados:

exercício 2 - caixa sem tampa

a) Calcule o valor de L para que o volume da caixa seja máximo. Utilize conceitos de derivadas na resolução.

b) Utilizando o resultado do item a, calcule o volume máximo dessa caixa.

Assista a vídeo aula sobre o conteúdo acima no YouTube e baixe os slides da aula em PDF

Clique aqui para assistir a vídeo aula

Resolução do Exercício 2 - Problema de otimização

Clique aqui para fazer o download

Baixe os slides da vídeo aula gratuitamente em formato PDF.

Exercício 3

Considere a função f(x) = x³ – 3x²  definida no conjunto dos reais.

a) As raízes de uma função são importantes para a construção de um gráfico, visto que elas correspondem aos pontos em que o gráfico cruza o eixo das abscissas (x). Obtenha as raízes reais da função f(x) dada.

b) Calcule a primeira derivada de f(x) e, a partir do estudo do sinal de f’(x), faça o estudo do crescimento e decrescimento da função f(x).

c) Calcule a segunda derivada de f(x) e, a partir do estudo do sinal de f’’(x), faça o estudo das concavidades (para cima ou para baixo) da função f(x).

d) Construa o gráfico da função f(x) utilizando o par de eixos a seguir e usando os resultados obtidos nos itens anteriores. Sabe-se, ainda, que

exercício 3d - limites exercício 3 - par de eixos cartesianos

Assista a vídeo aula sobre o conteúdo acima no YouTube e baixe os slides da aula em PDF

Clique aqui para assistir a vídeo aula

Resolução do Exercício 3 - derivadas e construção de gráfico

Clique aqui para fazer o download

Baixe os slides da vídeo aula gratuitamente em formato PDF.

Exercício 4

Utilizando a Regra da Cadeia e a Regra do Produto, calcule a primeira derivada da função f(x) = 4x³ . ln(5x+1).

Assista a vídeo aula sobre o conteúdo acima no YouTube e baixe os slides da aula em PDF

Clique aqui para assistir a vídeo aula

Resolução do Exercício 4 - derivada usando Regra da Cadeia e Regra do Produto

Clique aqui para fazer o download

Baixe os slides da vídeo aula gratuitamente em formato PDF.

Exercício 5

Considere a função f(x) = x³ – 3x² – 9x + 1. São feitas as afirmações:

I. x = 3 é um ponto de mínimo local.

II. x = –1  é um ponto de máximo global.

III. x = 1 é um ponto de inflexão.


Estão corretas:

a) apenas uma das afirmações.

b) apenas I e II.

c) apenas II e III.

d) apenas I e III.

e) todas as afirmações.

Assista a vídeo aula sobre o conteúdo acima no YouTube e baixe os slides da aula em PDF

Clique aqui para assistir a vídeo aula

Resolução do Exercício 5 - ponto de máximo, de mínimo e de inflexão

Clique aqui para fazer o download

Baixe os slides da vídeo aula gratuitamente em formato PDF.

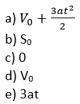
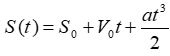
Exercício 6

A derivada com relação ao tempo da função horária do espaço fornece a expressão da velocidade. A derivada da velocidade fornece a expressão da aceleração. Essas afirmações constam em livros de cálculo e física. Assim, sabendo que expressão da função horária do espaço é

exercício 6 - função horária do espaço

em que S₀, V₀ e a são constantes reais, a expressão da aceleração será:

exercício 6 - alternativas

Assista a vídeo aula sobre o conteúdo acima no YouTube e baixe os slides da aula em PDF

Clique aqui para assistir a vídeo aula

Resolução do Exercício 6 - segunda derivada aplicada na física

Clique aqui para fazer o download

Baixe os slides da vídeo aula gratuitamente em formato PDF.

Exercício 7

Funções polinomiais possuem diversas aplicações práticas na agricultura, nas ciências ambientais e ciências econômicas. Seja a função polinomial f(x) = x³ – 6x² + 9x + 4. A respeito dessa função, considere as afirmações:

I. A função é decrescente no intervalo 1≤x≤3.

II. A função não admite ponto de máximo global.

III. Em x=2 encontramos um ponto de inflexão.

IV. Considerando o intervalo 0≤x≤2, a função admite um máximo local em x=1.


Quantas das afirmações estão corretas?

a) 0

b) 1

c) 2

d) 3

e) 4

Assista a vídeo aula sobre o conteúdo acima no YouTube e baixe os slides da aula em PDF

Clique aqui para assistir a vídeo aula

Resolução do Exercício 7 - pontos de máximo e pontos de mínimo

Clique aqui para fazer o download

Baixe os slides da vídeo aula gratuitamente em formato PDF.

Exercício 8

Seja a função

exercício 8 - função f(x) = x2/2a

O valor da primeira derivada de f(x) calculada no ponto a corresponde ao valor de f'(a) que é igual a:

a) 2.

b) 1.

c) 0.

d) a.

e) 2a.

Assista a vídeo aula sobre o conteúdo acima no YouTube e baixe os slides da aula em PDF

Clique aqui para assistir a vídeo aula

Resolução do Exercício 8 - derivada calculada em um ponto

Clique aqui para fazer o download

Baixe os slides da vídeo aula gratuitamente em formato PDF.

Exercício 9

O gráfico de f(x) = –x⁴ + x³ + 2x² + 1 está mostrado a seguir:

exercício 9 - gráfico

Baseado nessas informações, considere as seguintes afirmações:

I. A função f(x) possui duas raízes reais.

II. A função apresenta um ponto de mínimo global em x=0.

III. Dentro do intervalo [1,2], a função possui um ponto de máximo global.

IV. A função f(x) possui três pontos críticos.

V. A função f(x) possui dois pontos de inflexão.


Quantas das afirmações anteriores estão corretas?

a) 1

b) 2

c) 3

d) 4

e) 5

Assista a vídeo aula sobre o conteúdo acima no YouTube e baixe os slides da aula em PDF

Clique aqui para assistir a vídeo aula

Resolução do Exercício 9 - pontos de máximo, mínimo e de inflexão em um gráfico

Clique aqui para fazer o download

Baixe os slides da vídeo aula gratuitamente em formato PDF.

Exercício 10

A Cia. Gama Ltda. produz um determinado produto e vende–o com um lucro total dado por L(q)= –q³+12q²+60q–4, onde q representa a quantidade produzida. Qual é o valor do lucro máximo?

a) 2796

b) 1596

c) 796

d) 156

e) 84

Assista a vídeo aula sobre o conteúdo acima no YouTube e baixe os slides da aula em PDF

Clique aqui para assistir a vídeo aula

Resolução do Exercício 10 - problema de otimização usando derivadas

Clique aqui para fazer o download

Baixe os slides da vídeo aula gratuitamente em formato PDF.

Respostas dos Exercícios

1) a) 0    b) 1/2

2) a) L = 4 cm     b) 1024 cm³

3) a) 0 e 3

b) crescente: ]-;0[ e ]2;+[

     decrescente: [0;2]

c) concavidade para baixo se x≤1

    concavidade para cima de x>1

d)

4)

5) D

6) D

7) E

8) B

9) D

10) C

 Você também pode se interessar por:

Menu Cálculo

Veja todos os conteúdos disponíveis sobre Limites, Derivadas e Integrais

Crescimento, Decrescimento e Concavidades de Funções usando Derivadas

Crescimento e decrescimento de funções utilizando a 1ª derivada, pontos críticos, concavidades de funções usando a 2ª derivada, pontos de inflexão

Problemas de máximos e mínimos (ou problemas de otimização) usando derivadas 

Lista de exercícios com resolução em vídeo envolvendo problemas de otimização, também conhecido como problemas de máximos e mínimos, através do uso de derivadas