Professor Guru - logo

Limites e Derivadas - Lista de Exercícios 3

Regra de L'Hospital, limite lateral, derivada usando regra do produto, regra da cadeia e problemas de otimização (máximos e mínimos)

Conrad Elber Pinheiro
Professor Guru
Atualizado em 02/08/2023

Playlist no YouTube

Clique aqui para assistir a playlist com os conteúdos desta página no YouTube 

Lista de Exercícios 3 - Limites e derivadas

A seguir, você encontrará uma lista de exercícios contendo limite usando a Regra de L'Hospital, limite lateral tendendo a infinito, derivada usando regra do produto, derivada usando a regra da cadeia e problemas de otimização (máximos e mínimos) utilizando derivadas.  Todos os exercícios estão resolvidos em vídeo.

Assista a vídeo aula sobre o conteúdo acima no YouTube e baixe os slides da aula em PDF

Clique aqui para assistir a vídeo aula

Resolução do Exercício 1 - Regra de L'Hospital

Clique aqui para fazer o download

Baixe os slides da vídeo aula gratuitamente em formato PDF.

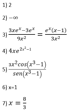
Exercício 2

Calcule o limite a seguir:

exercício 2 - limite lateral tendendo a infinito

Assista a vídeo aula sobre o conteúdo acima no YouTube e baixe os slides da aula em PDF

Clique aqui para assistir a vídeo aula

Resolução do Exercício 2 - Limite lateral tendendo a infinito

Clique aqui para fazer o download

Baixe os slides da vídeo aula gratuitamente em formato PDF.

Exercício 3

Seja a função

exercício 3 - derivada do quociente

Determine a expressão correspondente a g'(x).

Assista a vídeo aula sobre o conteúdo acima no YouTube e baixe os slides da aula em PDF

Clique aqui para assistir a vídeo aula

Resolução do Exercício 3 - derivada do quociente

Clique aqui para fazer o download

Baixe os slides da vídeo aula gratuitamente em formato PDF.

Exercício 4

Derive a função

exercício 4 - regra da cadeia

Assista a vídeo aula sobre o conteúdo acima no YouTube e baixe os slides da aula em PDF

Clique aqui para assistir a vídeo aula

Resolução do Exercício 4 - derivada usando Regra da Cadeia

Clique aqui para fazer o download

Baixe os slides da vídeo aula gratuitamente em formato PDF.

Exercício 5

Calcule a primeira derivada da função y = ln [sen (x³ - 1)].

Assista a vídeo aula sobre o conteúdo acima no YouTube e baixe os slides da aula em PDF

Clique aqui para assistir a vídeo aula

Resolução do Exercício 5 - derivada usando Regra da Cadeia

Clique aqui para fazer o download

Baixe os slides da vídeo aula gratuitamente em formato PDF.

Exercício 6

O ponto de inflexão de uma função é aquele em que, graficamente falando, ocorre a mudança de concavidade. Determine o valor de x correspondente ao ponto de inflexão da função a seguir:

f(x) = x³ – 3x² – 9x + 7.

Assista a vídeo aula sobre o conteúdo acima no YouTube e baixe os slides da aula em PDF

Clique aqui para assistir a vídeo aula

Resolução do Exercício 6 - ponto de inflexão

Clique aqui para fazer o download

Baixe os slides da vídeo aula gratuitamente em formato PDF.

Exercício 7

Deseja-se construir uma caixa retangular aberta cortando-se os cantos de um pedaço de papelão quadrado de lado 16 cm e dobrando-se as abas. A folha de papelão está representada na figura 1 onde podemos ver os cantos (quadrados) de lado x que deverão ser recortados. Em seguida, as abas serão dobradas formando a caixa de papelão representada na figura 2. Calcule o valor de x de modo que a caixa tenha o maior volume possível.

exercício 7 - problema de otimização (caixa aberta)

Assista a vídeo aula sobre o conteúdo acima no YouTube e baixe os slides da aula em PDF

Clique aqui para assistir a vídeo aula

Resolução do Exercício 7 - problema de otimização

Clique aqui para fazer o download

Baixe os slides da vídeo aula gratuitamente em formato PDF.

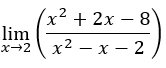
Respostas dos Exercícios

respostas da lista de exercícios 3

 Você também pode se interessar por:

Limites e Derivadas - Lista de Exercícios 4

Limite tendendo a infinito, limite lateral, derivada de funções elementares, derivada usando regra do produto e do quociente e derivada usando a regra da cadeia 

Limites e Derivadas - Lista de Exercícios 5

Limite usando a Regra de L'Hospital, problemas de otimização, construção de gráfico usando derivadas e limites, Regra da Cadeia e do Produto, ponto de máximo, ponto de mínimo e ponto de inflexão

Crescimento, Decrescimento e Concavidades de Funções usando Derivadas

Crescimento e decrescimento de funções utilizando a 1ª derivada, pontos críticos, concavidades de funções usando a 2ª derivada, pontos de inflexão